Memristor
Recently, the memristor (the abbreviation for memory resistor), displaying remarkable electronic properties, has attracted several studies due to its extraordinary role in microwave applications. The unique feature of a memristor is that it behaves as a linear resistor with memory; technically, the resistance (or conductance) at a given time depends on the time integral of the entire history of its current (or voltage) value. Furthermore, a broader quantitative description of a memristor has been mathematically generalized into a memristive system.
A simplified physical model, which is based on a thin film of titanium dioxide, can characterize nanoscale memristive effects, such as negative differential resistance, multiple conductance and switching, and hysteretic conductance. Since the birth of the first memristor, a wide range of nanoscale memristive systems, including spin memristive systems, a polymeric memristor, and a resonant tunneling diode memristor, have been identified and fabricated. The excitement of those memristive devices lies in expanding the electronic information processing methodology by using the state variables instead of using conventional voltage or current.
Wavenology EM as the software simulation tool can use its SPICE circuits to model memristor. The spintronic effect of the memristor is modeled with an equivalent non-linear circuit. Such model is built in Wavenology EM SPICE solver, and the non-linear circuit is embedded at the two corners of a patch antenna and a full-wave simulation was performed.

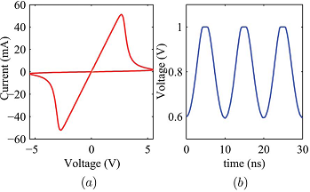
Fig. 1. Simulated circuit properties of high-frequency voltage-driven memristive system. (a) I-V hysteresis shape. (b) Normalized state variable curve.

Fig. 2. (a) Schematic of dual memristors embedding in an L-band directly modulated patch antenna. (b) Reflection coefficient for microwave patch antenna without the modulation.

Fig. 3. Electric field distribution on the microstrip patch antenna. (a) Antenna is